बोर्डस्टडि एक्सपेर्ट द्वारा तैयार किया गया कक्षा 11 भौतिकी अध्याय 11 उष्मागतिकी समाधान एनसीईआरटी के नवीनतम पाठ्यक्रम के अनुसार तैयार किया गया है। समाधान को बहुत ही आसान भाषा मे दिया गया है ताकि छात्रो को समझने मे कोई दिक्कत न हो।
कक्षा 11 को अच्छे से पढ़ना बहुत ही जरूरी है क्योंकि यह कक्षा 12 के लिय आधार बनाने का काम करती है। परीक्षा मे अच्छा स्कोर करने के लिय सभी प्रश्नों का उत्तर कुशल तरीके से दिया जाना बहुत ही जरूरी हैं। उष्मागतिकी समाधान छात्रो के लिय बहुत ही मददगार साबित होगा। बोर्डस्टडि पर आपको कक्षा 11 से संबधित और भी अध्ययन समाग्री मिल जायगी।
उष्मागतिकी समाधान
अध्याय 10: द्रव्य के तापीय गुण
अध्याय 12: अनुगति सिद्धांत
अध्याय को अच्छे से समझने के लिय अध्याय मे दिय गय सभी प्रश्नों एवं अतिरिक्त प्रश्नों का अभ्यास बहुत जरूरी हैं। पिछले वर्ष का प्रश्न पत्र हल करना भी एक्जाम की तैयारी मे काफी मददगार साबित होता हैं।
एनसीईआरटी अध्याय 11 उष्मागतिकी के महत्वपूर्ण प्रश्न
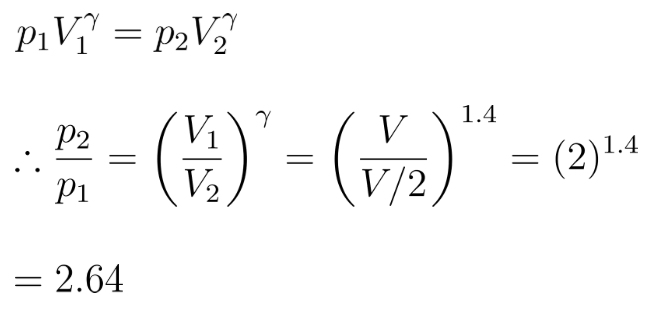
प्रश्न . गतिशील पिस्टन लगे किसी सिलिंडर में मानक ताप व दाब पर 3 मोल हाइड्रोजन भरी है। सिलिंडर की दीवारें ऊष्मारोधी पदार्थ की बनी हैं तथा पिस्टन को उस पर बालू की परत लगाकर ऊष्मारोधी बनाया गया है। यदि गैस को उसके आरम्भिक आयतन के आधे आयतन तक संपीडित किया जाए तो गैस का दाब कितना बढ़ेगा?
यहाँ बेलन की दीवारें अचालक के द्वारा बनी है अतः बेलन तथा वायुमण्डल के बीच ऊष्मा का विनियम नहीं होगा (रुद्धोष्म प्रक्रम)

उत्तर : माना बेलन के अन्दर गैस का प्रारम्भिक आयतन V है।

रुद्धोष्म परिवर्तन हेतु

प्रश्न . किसी ऊष्मागतिकीय निकाय को मूल अवस्था से मध्यवर्ती अवस्था तक चित्र में दर्शाये अनुसार एक रेखीय प्रक्रम द्वारा ले जाया गया है।
एक समदाबीय प्रक्रम द्वारा इसके आयतन को E से F तक ले जाकर मूल मान तक कम कर देते हैं। गैस द्वारा D से E तथा वहाँ से F तक कुल किए गए कार्य का आकलन कीजिए।

ऊष्मागतिकी निकाय द्वारा कृत कार्य = Y-अक्ष तथा p-V वक्र के बीच का क्षेत्रफल यदि आयतन बढ़ता है तब कृत कार्य धनात्मक है तथा यदि आयतन घटता है तब कृत कार्य ऋणात्मक है।
उत्तर : DE प्रक्रम में कृत कार्य = + DEHGD का क्षेत्रफल
= [ΔADEF का क्षेत्रफल + आयत EHGF ka क्षेत्रफल ]

EF प्रक्रम में कृत कार्य = – आयत EHGF का क्षेत्रफल
