बोर्डस्टडि एक्सपेर्ट द्वारा तैयार किया गया कक्षा 11 भौतिकी अध्याय 12 अनुगति सिद्धांत समाधान एनसीईआरटी के नवीनतम पाठ्यक्रम के अनुसार तैयार किया गया है। समाधान को बहुत ही आसान भाषा मे दिया गया है ताकि छात्रो को समझने मे कोई दिक्कत न हो।
कक्षा 11 को अच्छे से पढ़ना बहुत ही जरूरी है क्योंकि यह कक्षा 12 के लिय आधार बनाने का काम करती है। परीक्षा मे अच्छा स्कोर करने के लिय सभी प्रश्नों का उत्तर कुशल तरीके से दिया जाना बहुत ही जरूरी हैं। अनुगति सिद्धांत समाधान छात्रो के लिय बहुत ही मददगार साबित होगा। बोर्डस्टडि पर आपको कक्षा 11 से संबधित और भी अध्ययन समाग्री मिल जायगी।
अनुगति सिद्धांत समाधान
अध्याय 11: उष्मागतिकी
अध्याय 13: दोलन
अध्याय को अच्छे से समझने के लिय अध्याय मे दिय गय सभी प्रश्नों एवं अतिरिक्त प्रश्नों का अभ्यास बहुत जरूरी हैं। पिछले वर्ष का प्रश्न पत्र हल करना भी एक्जाम की तैयारी मे काफी मददगार साबित होता हैं।
एनसीईआरटी अध्याय 12 अनुगति सिद्धांत के महत्वपूर्ण प्रश्न
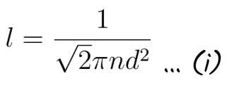
प्रश्न . नाइट्रोजन गैस के एक सिलिंडर में 2.0 atm दाब एवं 17° ताप पर, नाइट्रोजन अणुओं के माध्य मुक्त पथ एवं संघट्ट आवृत्ति का आकलन कीजिए। नाइट्रोजन अणु की त्रिज्या लगभग 1.0 Å लीजिए। संघट्ट-काल की तुलना अणुओं द्वारा दो संघट्टों के बीच स्वतन्त्रतापूर्वक चलने में लगे समय से कीजिए। (नाइट्रोजन का आणविक द्रव्यमान = 28.0 u)।
उत्तर : दाब p = 2atm = 2 X 1.013 X 105 N/m2
ताप (T) = 17 + 273.15 K
= 290.15K
अणुभार ( M ) = 28 g

मुक्त पथ हेतु (l)

n = गैस के अणुओं का घनत्व = एकांक आयतन में गैस के अणुओं की संख्या
pV = n1kT , जहाँ n1 = गैस के मोलों की संख्या है

समी (i) में n का मान रखने पर

मान रखने पर



अतः मुक्त पथ आवृत्ति l = 1.11 X 10-7 m
संघट्ट आवृत्ति = प्रति सेकण्ड टक्करों की संख्या



जहाँ, d = अणु का व्यास है


दो क्रमागत टक्करों में लिया गया समय


अतः क्रमागत टक्करों में लिया गया समय एक टक्कर में लिये गये समय का 500 गुना है अतः गैस का एक अणु अधिकांशतः स्वतन्त्र विचरण करता है।
प्रश्न . मोलर आयतन, STP पर किसी गैस (आदर्श) के 1 मोल द्वारा घेरा गया आयतन है। (STP 1 atm दाब, 0°) दर्शाइये कि यह 22.4 लीटर है।
उत्तर : दाब p = 1atm = 1.013 X 105 Nm-2
गैस नियतांक R = 8.314Jmol-1K-1
मोलों की संख्या n = 1
ताप T = 273.15 K
pV = nRT समीकरण प्रयुक्त करने पर


