बोर्डस्टडि एक्सपेर्ट द्वारा तैयार किया गया कक्षा 11 भौतिकी अध्याय 10 द्रव्य के तापीय गुण समाधान एनसीईआरटी के नवीनतम पाठ्यक्रम के अनुसार तैयार किया गया है। समाधान को बहुत ही आसान भाषा मे दिया गया है ताकि छात्रो को समझने मे कोई दिक्कत न हो।
कक्षा 11 को अच्छे से पढ़ना बहुत ही जरूरी है क्योंकि यह कक्षा 12 के लिय आधार बनाने का काम करती है। परीक्षा मे अच्छा स्कोर करने के लिय सभी प्रश्नों का उत्तर कुशल तरीके से दिया जाना बहुत ही जरूरी हैं। द्रव्य के तापीय गुण समाधान छात्रो के लिय बहुत ही मददगार साबित होगा। बोर्डस्टडि पर आपको कक्षा 11 से संबधित और भी अध्ययन समाग्री मिल जायगी।
द्रव्य के तापीय गुण समाधान
अध्याय 9: तरलों के यांत्रिक गुण
अध्याय 11: उष्मागतिकी
अध्याय को अच्छे से समझने के लिय अध्याय मे दिय गय सभी प्रश्नों एवं अतिरिक्त प्रश्नों का अभ्यास बहुत जरूरी हैं। पिछले वर्ष का प्रश्न पत्र हल करना भी एक्जाम की तैयारी मे काफी मददगार साबित होता हैं।
एनसीईआरटी अध्याय 10 द्रव्य के तापीय गुण के महत्वपूर्ण प्रश्न
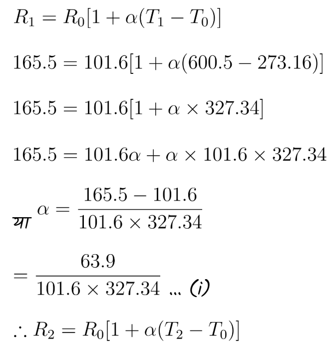
प्रश्न . किसी तापमापी का ओम में विद्युत प्रतिरोध ताप के साथ निम्नलिखित सन्निकट नियम के अनुसार परिवर्तित होता है
R = R0 [1+a(T – T0 ]
यदि तापमापी का जल के त्रिक बिन्दु 273.16 K पर प्रतिरोध 101.6 π तथा लैड के सामान्य संगलन बिन्दु (600.5 K) पर प्रतिरोध 165.5 π है तो वह ताप ज्ञात कीजिए जिस पर तापमापी का प्रतिरोध 123.4 π है।
उत्तर : दिया है, R0 = 101.6 π, T0 = 273.16 K

हम जानते हैं कि



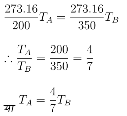
प्रश्न . दो परम ताप मापक्रमों A तथा B पर जल के त्रिक बिन्दु को 200 A तथा 350 B द्वारा परिभाषित किया गया है। TA तथा TB में क्या सम्बंध है?
उत्तर : दिया है, पैमाने A पर जल का त्रिक बिन्दु = 200 A
पैमाने B पर जल का त्रिक बिन्दु = 350 B
जल का परिशुद्ध पैमाने पर (K) त्रिक बिन्दु = 273.16 K

यदि TA तथा TB पैमाने A व B पर जल के त्रिक बिन्दु हैं, तब
