रसायनशास्त्र एक बहुत ही कठिन विषय है खासकर इसमे दिय गय रासायनिक समीकरण इस विषय को और भी कठिन बना देते हैं। यहाँ हमने एनसीईआरटी कक्षा 11 रसायनशास्त्र अध्याय 09 हाइड्रोकार्बन समाधान दिया हैं। बोर्डस्टडि द्वारा दिया गया कक्षा 11 रसायनशास्त्र समाधान एनसीईआरटी पुस्तक के अनुसार तैयार किए गए हैं।
यह समाधान छात्रो मे आत्मविश्वास लाने का काम करेगा एवं परीक्षा मे अच्छा स्कोर करने मे मदद करेगा। इस अध्याय की मदद से आप एल्केन, एल्कीन और एल्काइन, उनकी संरचना, अभिक्रियाएँ, नामकरण (IUPAC) तथा समावयवता जैसी मूलभूत धारणाओ से जुड़ी सभी प्रश्न और उत्तर को अच्छे से समझ सकते हैं। समाधान मे सभी आवधारनाओ को सरल एवं आसान भाषा मे समझाया गया हैं।
कक्षा 11 रसायनशास्त्र हाइड्रोकार्बन समाधान
अध्याय 08 : अपचयोपचय अभिक्रियाएँ संरचना
एनसीईआरटी अध्याय 09 हाइड्रोकार्बन के महत्वपूर्ण प्रश्न
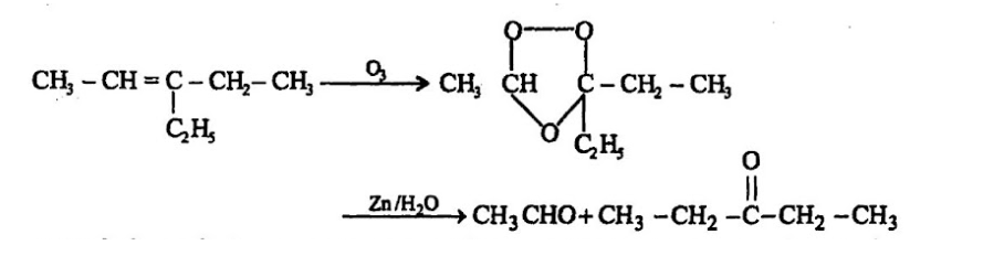
प्रश्न. एक एल्कीन ‘A’ के ओजोनी अपघटन से पेंटेन-3-ओन तथा ऐथेनॉल का मिश्रण प्राप्त होता है। A का IUPAC नाम तथा संरचना दीजिए।
उत्तर : क्योंकि एल्कीन A के ओजोनी अपघटन से पेंटेन-3-ओन और ऐथेनॉल बनता है। अंतः इसकी संरचना निम्न है—

प्रश्न 13.9. हैक्स-2-ईन की समपक्ष (सिस) तथा विपक्ष (ट्रांस) संरचनाएँ बनाइए। इनमें से कौन से समावयव का क्वथनांक उच्च होता है और क्यों?
उत्तर : हेक्स-2-ईन : CH₃CH₂CH₂CH=CHCH₃
इसकी समपक्ष और विपक्ष सरचनाएँ निम्न हैं—

समपक्ष समावयव का क्वथनांक अधिक होता है; क्योंकि यह अधिक ध्रुवण प्रकृति का होता है। अतः ध्रुवण से आकर्षण अधिक है। अधिक ऊर्जा की आवश्यकता होती है, जबकि विपक्ष में अध्रुवण गुण होने के कारण आकर्षण कम होता है। अतः क्वथनांक कम होता है।