इस पोस्ट मे हमने एनसीईआरटी के नवीनतम पाठ्यक्रम के अनुसार कक्षा 12 भौतिकी अध्याय 10 तरंग प्रकाशिकी का समाधान दिया हैं। हमने अध्याय मे मौजूद सभी प्रश्नों का समाधान सरल एवं स्पष्ट भाषा मे दिया हैं।
छात्रो के लिय तरंग प्रकाशिकी अध्याय को अच्छे से समझना बहुत जरूरी हैं। इस अध्याय की मदद से आप ह्यूजेन्स का सिद्धांत, व्यतिकरण, विवर्तन और ध्रुवीकरण जैसी मूलभूत धारणाओ को अच्छे से समझ सकते हैं। परीक्षा मे अच्छा स्कोर करने के लिय इन धारणाओ को अच्छे से समझना बहुत जरूरी हैं।
तरंग प्रकाशिकी यंत्र समाधान
अध्याय 9: किरण प्रकाशकीय एवं प्रकाशिक यंत्र समाधान
अध्याय 11: विकिरण तथा द्रव्य की द्वैत प्रकृति समाधान
अध्याय को अच्छे से समझने के लिय अध्याय मे दिय गय सभी प्रश्नों एवं अतिरिक्त प्रश्नों का अभ्यास बहुत जरूरी हैं। पिछले वर्ष का प्रश्न पत्र हल करना भी एक्जाम की तैयारी मे काफी मददगार साबित होता हैं।
कक्षा 12 विज्ञान के नोट्स
कक्षा 12 जीव विज्ञान नोट्स
कक्षा 12 भौतिकी नोट्स
कक्षा 12 रसायन शास्त्र
एनसीईआरटी अध्याय 10 तरंग प्रकाशिकी के महत्वपूर्ण प्रश्न
Q. यंग के द्विझिरी प्रयोग में, झिरियों के बीच की दूरी 0.28mm है तथा परदा 1.4mm की दूरी पर रखा गया है। केन्द्रीय दीप्त फ्रिंज एवं चतुर्थ दीप्त फ्रिंज के बीच की दूरी 1.2mm मापी गई है। प्रयोग में उपयोग किए गए प्रकाश की तरंगदैर्घ्य ज्ञात कीजिए।
उत्तर: स्लिटों के बीच की दूरी d= 0.28mm = 0.28 x 10-3
पर्दे तथा स्लिट के बीच की दूरी D= 1.4m
केन्द्रीय चमकीली फ्रिंज तथा चौथी चमकीली फ्रिंज के बीच की दूरी

फ्रिंजों की संख्या n= 4
संपोषी व्यतिकरण हेतु,



अतः प्रकाश का तरंगदैर्घ्य 6 x 10-7 m है।
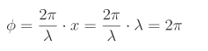
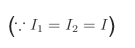
Q5. यंग के द्विझिरी प्रयोग में, Λ तरंगदैर्घ्य का एकवर्णीय प्रकाश उपयोग करने पर, परदे के एक बिन्दु पर जहाँ पथान्तर Λ है, प्रकाश की तीव्रता k इकाई है। उस बिन्दु पर प्रकाश की तीव्रता कितनी होगी जहाँ पथान्तर Λ/3 है?
उत्तर: प्रकाश की तरंगदैर्घ्य = Λ
जब पथान्तर Λ तथा कलान्तर Φ है




जब पथान्तर Λ/3 है, तब

परिणामी तीव्रता


अतः प्रकाश की तीव्रता k/4 तथा पथान्तर Λ/3 है।