BoardStudy given class 11 math Binomial Theorem notes according to latest NCERT syllabus to make your study more convenient and easy. We have covered every topic in a simple and easy way so anyone can understand the chapter and perform well in the exam.
Notes are very clean and colourful written by BoardStudy subject matter experts. Every important concept, formula, diagram and derivation is shared in the Binomial Theorem notes that will help you solve the problem. By reviewing these notes regularly you will master the Binomial Theorem chapter and can score well in exam.
Class 11 Math Binomial Theorem Notes
Chapter 6: Permutations and Combinations Notes
Chapter 8: Sequences and Series Notes
Key Points Binomial Theorem
Binomial expression
An expression consisting of two terms, connected by + or − sign is called binomial expression.
Binomial theorem
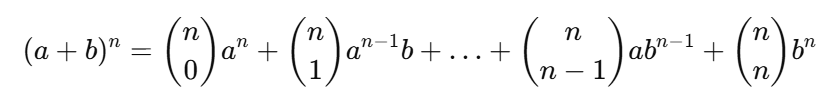
If a and b are real numbers and n is a positive integer, then the expansion of a binomial is given by Binomial theorem, which is –

The coefficients of the expansions are arranged in an array.
This array is called Pascal’s triangle.
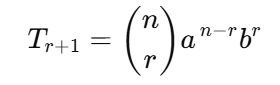
The general term of an expansion is –

NOTE:
Total number of terms in the expansion of is .
The sum of the indices of a and b in each term is n.
The above expansion is also true when a & b are complex numbers.
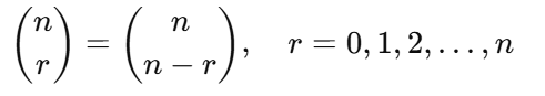
The coefficient of terms equidistant from the beginning and the end are equal. These coefficients are known as the binomial coefficient and

The values of the binomial coefficient steadily increase to a maximum and then steadily decrease.