BoardStudy given class 11 math Permutations and Combinations notes according to latest NCERT syllabus to make your study more convenient and easy. We have covered every topic in a simple and easy way so anyone can understand the chapter and perform well in the exam.
Notes are very clean and colourful written by BoardStudy subject matter experts. Every important concept, formula, diagram and derivation is shared in the Permutations and Combinations notes that will help you solve the problem. By reviewing these notes regularly you will master the Permutations and Combinations chapter and can score well in exam.
Class 11 Math Permutations and Combinations Notes
Chapter 5: Linear Inequalities Notes
Chapter 7: Binomial Theorem Notes
Key Points
• Multiplication Principle
Suppose an operation A can be performed in m ways and associated with each way of performing A, another operation B can be performed in n ways, then total number of performance of two operations in the given order is (m × n) ways.
This can be extended to any finite number of operations.
• Addition Principle
If an operation A can be performed in m ways and another operation B which is independent of A, can be performed in n ways, then A and B can be performed in (m + n) ways.
This can be extended to any finite number of exclusive events.
• Factorial
The continued product of first n natural numbers is called factorial.
It is denoted by n!
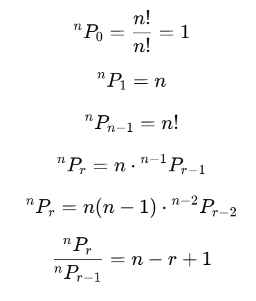
Permutation
Each of the different arrangement which can be made by taking some or all of a number of objects is called permutation.
• Permutation of n different objects
The number of arranging of n objects taking all at a time is given by –

.Properties
