Some students find Math a very hard subject so here on BoardStudy, we have shared class 12 Math Chapter 4 Determinants notes. We have covered every topic in a simple and easy way so anyone can understand the chapter and perform well in exam.
Notes are very clean and colourful written by BoardStudy subject matter experts. Every important concept, formula, diagram and derivation is shared in Determinants notes that will help you solve the problem. These notes are designed to make complex topics easier which will definitely boost the students’ confidence during the exam.
Determinants Handwritten Notes PDF
Chapter 3: Matrices
Chapter 5: Continuity and Differentiability
Other Subjects:
Class 12 Physics Notes PDF
Class 12 Chemistry Notes PDF
Key Points
Determinants
Determinant: Determinant is the numerical value of the square matrix. So, to every square matrix A = [aij] of order n, we can associate a number (real or complex) called determinant of square matrix A.
This denoted by det A or |A|.
NOTE: Read |A| as determinant A not absolute value of A. Determinant gives numerical value but matrix do not give numerical value.
Only square matrix have determinants.
Solution of system of linear equation using inverse of a Matrix.
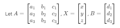
Consider the system of equations:
$a1x + b1y + c1z = d1
a2x + b2y + c2z = d2
a3x + b3y + c3z = d3

Then, the system can be written as AX = B
Case 1: If A is a non-singular matrix, then its inverse exists.
X = A-1B
This matrix equation provides unique solution for the given system of equations as inverse of a matrix is unique.
Case 2: If A is a singular matrix, then |A| = 0.
In this case, we calculate (adjA)B.
If (adjA)B = O, (O being zero matrix), then solution does not exist and the system of equations is called inconsistent.
If (adjA)B = O, then system may be either consistent or inconsistent according as the system have either infinitely many solutions or no solution.
Features of Notes
- Determinants Notes are crafted by BoardStudy expert. All concepts and diagrams are included in notes.
- Our revision notes make a complex topic very simple. By using our notes, students can quickly revise Determinants chapter.
- In the last few days of exam, students feel very stressed due to the pressure of exam. Determinants Notes will be very helpful for managing the stress in the last days of the exam.
Summary
| Chapter | Determinants |
| Chapter Number | 4 |
| Subject | Math |
| Class | 12 |
| Medium | English |
