इस पोस्ट मे हमने एनसीईआरटी के नवीनतम पाठ्यक्रम के अनुसार कक्षा 12 रसायनशास्त्र अध्याय 3 रसायनिक बलगतिकी का समाधान दिया हैं। हमने अध्याय मे मौजूद सभी प्रश्नों का समाधान सरल एवं स्पष्ट भाषा मे दिया हैं।
छात्रो के लिय रसायनिक बलगतिकी अध्याय को अच्छे से समझना बहुत जरूरी हैं। इस अध्याय की मदद से आप अभिक्रिया की दर, दर नियम, दर स्थिरांक, कोटि (Order), आणविकता (Molecularity), और अरहेनियस समीकरण स्तर जैसी मूलभूत धारणाओ को अच्छे से समझ सकते हैं। परीक्षा मे अच्छा स्कोर करने के लिय इन धारणाओ को अच्छे से समझना बहुत जरूरी हैं।
रसायनिक बलगतिकी समाधान
अध्याय 2: वैधुतरसायन समाधान
अध्याय 4: d एवं f ब्लॉक के तत्व समाधान
अध्याय को अच्छे से समझने के लिय अध्याय मे दिय गय सभी प्रश्नों एवं अतिरिक्त प्रश्नों का अभ्यास बहुत जरूरी हैं। पिछले वर्ष का प्रश्न पत्र हल करना भी एक्जाम की तैयारी मे काफी मददगार साबित होता हैं।
एनसीईआरटी कक्षा 12 रसायनशास्त्र अध्याय 3 रसायनिक बलगतिकी के महत्वपूर्ण प्रश्न
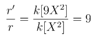
Q. अणु X का Y में रूपांतरण द्वितीय कोटि की बलगतिकी के अनुरूप होता है। यदि X की सांद्रता तीन गुनी कर दी जाए तो Y के निर्माण होने के वेग पर क्या प्रभाव पड़ेगा?
उत्तर:

अभिक्रिया वेग (r) = k(X)2 ….(i)
यदि x की सान्द्रता तीन गुनी कर दी जाए, तब
अभिक्रिया वेग (r1) = k(3X) = k(9X2) ….(ii)
समीकरण (ii) को समीकरण (i) से भाग देने पर

अतः y के निर्माण होने का वेग 9 गुना बढ़ जायेगा।
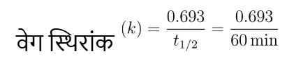
Q. SO2CL2 को अपनी प्रारम्भिक मात्रा से आधी मात्रा में वियोजित होने में 60 मिनट का समय लगता है। यदि अभिक्रिया प्रथम कोटि की हो तो वेग स्थिरांक की गणना कीजिए।
उत्तर:
प्रथम कोटि की अभिक्रिया के लिए,


