बोर्डस्टडि एक्सपेर्ट द्वारा तैयार किया गया कक्षा 11 भौतिकी अध्याय 8 ठोसों के यांत्रिक समाधान एनसीईआरटी के नवीनतम पाठ्यक्रम के अनुसार तैयार किया गया है। समाधान को बहुत ही आसान भाषा मे दिया गया है ताकि छात्रो को समझने मे कोई दिक्कत न हो।
कक्षा 11 को अच्छे से पढ़ना बहुत ही जरूरी है क्योंकि यह कक्षा 12 के लिय आधार बनाने का काम करती है। परीक्षा मे अच्छा स्कोर करने के लिय सभी प्रश्नों का उत्तर कुशल तरीके से दिया जाना बहुत ही जरूरी हैं। ठोसों के यांत्रिक गुण समाधान छात्रो के लिय बहुत ही मददगार साबित होगा। बोर्डस्टडि पर आपको कक्षा 11 से संबधित और भी अध्ययन समाग्री मिल जायगी।
ठोसों के यांत्रिक गुण समाधान
अध्याय 7: गुरुत्वाकर्षण
अध्याय 9: तरलों के यांत्रिक गुण
अध्याय को अच्छे से समझने के लिय अध्याय मे दिय गय सभी प्रश्नों एवं अतिरिक्त प्रश्नों का अभ्यास बहुत जरूरी हैं। पिछले वर्ष का प्रश्न पत्र हल करना भी एक्जाम की तैयारी मे काफी मददगार साबित होता हैं।
एनसीईआरटी अध्याय 8 ठोसों के यांत्रिक गुण के महत्वपूर्ण प्रश्न
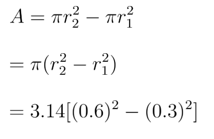
प्रश्न 7. मृदु इस्पात के चार समरूप खोखले बेलनाकार स्तम्भ 50000 kg द्रव्यमान के किसी बड़े ढाँचे को आधार दिए हुए हैं। प्रत्येक स्तम्भ की भीतरी तथा बाहरी त्रिज्याएँ क्रमशः 30 cm तथा 60 cm हैं। भार वितरण को एकसमान मानते हुए प्रत्येक स्तम्भ का संपीडन विकृति की गणना कीजिए।
उत्तर : खोखले स्तम्भ का कुल द्रव्यमान (m) = 50000 kg

प्रत्येक स्तम्भ की आन्तरिक त्रिज्या () = 30 cm = 0.3 m
प्रत्येक स्तम्भ की बाहरी त्रिज्या () = 60 cm = 0.6 m
प्रत्येक स्तम्भ का बाह्य अनुप्रस्थ क्षेत्रफल



प्रश्न . निम्नलिखित दो कथनों को ध्यान से पढ़िए और कारण सहित बताइये कि वे सत्य हैं या असत्य
(a) इस्पात की अपेक्षा रबड़ का यंग गुणांक अधिक है;
(b) किसी कुण्डली का तनन उसके अपरूपण गुणांक से निर्धारित होता है।
उत्तर : (a) गलत, क्योंकि स्टील तथा इस्पात दोनों में एकसमान विकृति उत्पन्न करने के लिए इस्पात में अधिक प्रतिबल लगाना पड़ता है। अतः इस्पात का यंग गुणांक रबड़ से अधिक है।
(b) सत्य, क्योंकि जब कुण्डली को खींचा जाता है उसकी लम्बाई और आयतन में कोई परिवर्तन नहीं होता है जबकि इसका आकार परिवर्तित हो जाता है अतः किसी कुण्डली का तनन उसके अपरूपण गुणांक से निर्धारित होता है।