BoardStudy given Class 11 Math Chapter 9 Straight Lines notes according to latest NCERT syllabus to make your study more convenient and easy. We have covered every topic in a simple and easy way so anyone can understand the chapter and perform well in the exam.
Notes are very clean and colourful written by BoardStudy subject matter experts. Every important concept, formula, diagram and derivation is shared in the Straight Lines notes that will help you solve the problem. By reviewing these notes regularly you will master the Straight Lines chapter and can score well in exam.
Class 11 Math Straight Lines Notes
Chapter 8: Sequences and Series Notes
Chapter 10: Conic Sections Notes
Key Points Straight Lines
Straight Lines
Distance between the points and is
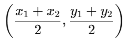
The coordinates of the point which divides the join of and in the ratio
Internally is

Externally is

Midpoint of the join of and is

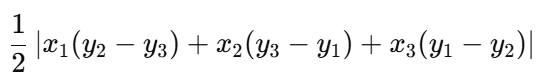
Area of the triangle
Area of the triangle whose vertices are
is

If the area of triangle ABC is 0, then three points A, B and C lie on a line i.e., they are collinear.
Centroid of triangle
The coordinates of centroid of the triangle are
Straight Line
General equation of line is
Slope or Gradient of line (m)
The inclination of angle θ to a line with positive direction of x-axis in the anticlockwise direction, the tangent of angle θ is said to be slope of a line.
NOTE:
- Slope of a line parallel to X-axis is zero.
- Slope of a line parallel to Y-axis is not defined.
If two lines are parallel, their slopes are equal
If two lines are perpendicular to each other, then their product of slopes is −1
Collinearity of three points
If A, B & C are three points in the XY plane, then they will lie on a line i.e., three points are collinear if and only if
Various forms of the equation of a line
Horizontal & Vertical lines
If a line is at a distance a and parallel to X-axis, then the equation of the line is
If a line is at a distance b and parallel to Y-axis, then the equation of the line is