BoardStudy given class 11 math Complex Numbers and Quadratic Equations notes according to latest NCERT syllabus to make your study more convenient and easy. We have covered every topic in a simple and easy way so anyone can understand the chapter and perform well in the exam.
Notes are very clean and colourful written by BoardStudy subject matter experts. Every important concept, formula, diagram and derivation is shared in the Complex Numbers and Quadratic Equations notes that will help you solve the problem. By reviewing these notes regularly you will master the Complex Numbers and Quadratic Equations chapter and can score well in exam.
Class 11 Math Complex Numbers and Quadratic Equations Notes
Chapter 3: Trigonometric Functions Notes
Chapter 5: Linear Inequalities Notes
Key Points
Imaginary number
The square root of a negative real number is called an imaginary number.
Ex – √(-2), √(-5) etc.
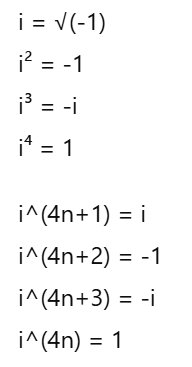
Iota (i)
The quantity √(-1) is an imaginary unit and it is denoted by ‘i’, called iota.

Complex number
A number of the form x + iy where
x is called real part and y is called imaginary part of the complex number.
i.e.,
Re(Z) = x
Im(Z) = y
Purely real
A complex number is purely real if its imaginary part is 0.
Purely imaginary
A complex number is purely imaginary if its real part is 0.
Modulus of a complex number
The positive square root of the sum of square of real part and square of imaginary part is called modulus (absolute value) of Z and it is denoted by |Z|.

It represents distance of Z from origin in the set of complex numbers C.
Argand plane and polar representation
Any complex number Z can be represented geometrically by a point (x, y) in a plane called argand plane, complex plane or gaussian plane.
x-axis is called real axis
y-axis is called imaginary axis
Argument or amplitude
The angle made by line joining point Z to the origin with the positive direction of X-axis in an anti-clockwise sense.
Denoted by the symbol arg(Z) or amp(Z)
arg(Z) = θ = tan⁻¹(y/x)
Principal value of argument
The unique value of θ such that −π < θ ≤ π is called the principal value of the amplitude or principal argument.
Principal value of argument:
x > 0 and y > 0 → arg(Z) = θ
x < 0 and y > 0 → arg(Z) = π − θ
x < 0 and y < 0 → arg(Z) = −(π − θ)
x > 0 and y < 0 → arg(Z) = −θ