BoardStudy given Class 11 Math Chapter 12 Limits and Derivatives notes according to latest NCERT syllabus to make your study more convenient and easy. We have covered every topic in a simple and easy way so anyone can understand the chapter and perform well in the exam.
Notes are very clean and colourful written by BoardStudy subject matter experts. Every important concept, formula, diagram and derivation is shared in the Limits and Derivatives notes that will help you solve the problem. By reviewing these notes regularly you will master the Limits and Derivatives chapter and can score well in exam.
Class 11 Math Limits and Derivatives Notes
Chapter 11: 3D Geometry Notes
Chapter 13: Statistics Notes
Key Points
Limits and Derivatives
Let be a function of x. When at , takes indeterminate form, then we consider the values of the function which is very near to a. If these values tend to a definite unique number as tends to , then the unique number so obtained is called the limit of at and we write it as:

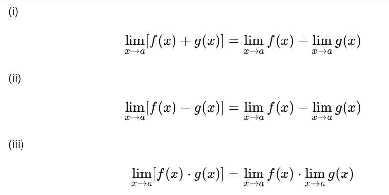
Algebra of limits


Limits of trigonometric functions
Let and be two real valued functions with the same domain such that
for all in the domain of definition.
For some , if both

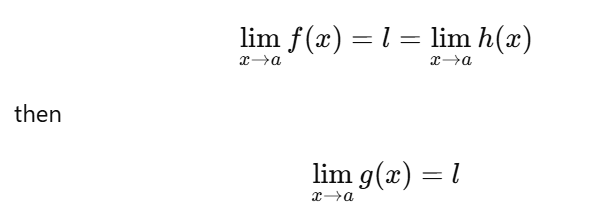
Sandwich Theorem
Let , and be real functions such that
for all in the common domain of definition.
For some real number , if

Derivatives
Suppose is a real valued function and
is a point in its domain of definition. The derivative of f at a is defined by:
provided this limit exists. Derivative of f at a is denoted by .
Suppose is a real valued function. The function defined by:
wherever the limit exists, is defined to be the derivative of at and is denoted by . This definition of derivative is also called the first principle of derivative.
