इस पोस्ट मे हमने एनसीईआरटी के नवीनतम पाठ्यक्रम के अनुसार कक्षा 12 भौतिकी अध्याय 13 नाभिक का समाधान दिया हैं। हमने अध्याय मे मौजूद सभी प्रश्नों का समाधान सरल एवं स्पष्ट भाषा मे दिया हैं।
छात्रो के लिय नाभिक अध्याय को अच्छे से समझना बहुत जरूरी हैं। इस अध्याय की मदद से आप नाभिकीय घनत्व, द्रव्यमान दोष, रेडियोधर्मी क्षय नियम (अल्फा, बीटा, गामा), अर्ध-आयु, विखंडन और संलयन स्तर जैसी मूलभूत धारणाओ को अच्छे से समझ सकते हैं। परीक्षा मे अच्छा स्कोर करने के लिय इन धारणाओ को अच्छे से समझना बहुत जरूरी हैं।
नाभिक समाधान
अध्याय 12: परमाणु समाधान
अध्याय 14: सेमीकंडक्टर इलेक्ट्रॉनिक्स: सामग्री, उपकरण और सरल सर्किट समाधान
अध्याय को अच्छे से समझने के लिय अध्याय मे दिय गय सभी प्रश्नों एवं अतिरिक्त प्रश्नों का अभ्यास बहुत जरूरी हैं। पिछले वर्ष का प्रश्न पत्र हल करना भी एक्जाम की तैयारी मे काफी मददगार साबित होता हैं।
कक्षा 12 विज्ञान के नोट्स
कक्षा 12 जीव विज्ञान नोट्स
कक्षा 12 भौतिकी नोट्स
कक्षा 12 रसायन शास्त्र
एनसीईआरटी अध्याय 13 नाभिक के महत्वपूर्ण प्रश्न
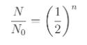
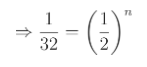
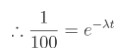
Q. एक रेडियोऐक्टिव समस्थानिक की अर्द्ध-आयु T वर्ष है। कितने समय के बाद इसकी ऐक्टिवता प्रारम्भिक ऐक्टिवता की
(a)3.125% तथा
(b) 1% रह जाएगी?
उत्तर: अर्द्ध-आयु T1/2 = Tyr
(a) N = 3.125% of N0

हम जानते हैं कि


अथवा n = 5
अतः समय, t = n X T1/2 =5T
5 अर्द्ध-आयु के पश्चात् सक्रियता 3.125% रह जाती है।
(b) N = 1% of N0


loge 1 – loge 100 = –λt loge e
-2.303 X 2 = –λt



Q. नियॉन के तीन स्थायी समस्थानिकों की बहुलता क्रमशः 90.51%,0.27% एवं 9.22% है। इन समस्थानिकों के परमाणु द्रव्यमान क्रमशः 19.99 u, 20.99 u एवं 21.99 u हैं। नियॉन का औसत परमाणु द्रव्यमान ज्ञात कीजिए।
उत्तर: Ne20 की बहुलता = 90.51%
Ne21 की बहुलता = 0.27%
Ne22 की बहुलता =9.22%
Ne20 का परमाणु द्रव्यमान = 19.99 u
Ne21 का परमाणु द्रव्यमान =20.99 u
Ne22 का परमाणु द्रव्यमान = 21.99u
औसत परमाणु द्रव्यमान = सभी समस्थानिकों का औसत भार

= 20.18 u