इस पोस्ट मे हमने एनसीईआरटी के नवीनतम पाठ्यक्रम के अनुसार कक्षा 12 रसायनशास्त्र अध्याय 6 हैलोएल्केन और हैलोएरीन समाधान दिया हैं। हमने अध्याय मे मौजूद सभी प्रश्नों का समाधान सरल एवं स्पष्ट भाषा मे दिया हैं।
छात्रो के लिय हैलोएल्केन और हैलोएरीन अध्याय को अच्छे से समझना बहुत जरूरी हैं। इस अध्याय की मदद से वर्गीकरण (मोनो, डाई, पॉली), नामकरण (IUPAC), भौतिक गुण (क्वथनांक), तथा रासायनिक अभिक्रियाएं (SN1, SN2, विलोपन, ग्रिग्नार्ड) और उनके उपयोग स्तर जैसी मूलभूत धारणाओ को अच्छे से समझ सकते हैं। परीक्षा मे अच्छा स्कोर करने के लिय इन धारणाओ को अच्छे से समझना बहुत जरूरी हैं।
हैलोएल्केन और हैलोएरीन समाधान
अध्याय 5: उपसहसंयोजन यौगिक
अध्याय 7: ऐल्कोहॉल, फीनॉल व ईथर समाधान
अध्याय को अच्छे से समझने के लिय अध्याय मे दिय गय सभी प्रश्नों एवं अतिरिक्त प्रश्नों का अभ्यास बहुत जरूरी हैं। पिछले वर्ष का प्रश्न पत्र हल करना भी एक्जाम की तैयारी मे काफी मददगार साबित होता हैं।
एनसीईआरटी कक्षा 12 रसायनशास्त्र अध्याय 6 हैलोएल्केन और हैलोएरीन के महत्वपूर्ण प्रश्न
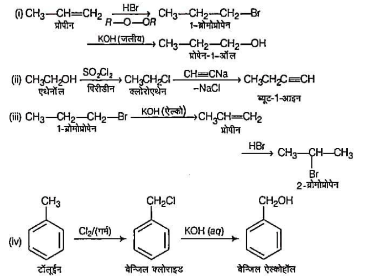
Q19. निम्नलिखित परिवर्तन कैसे संपन्न किए जा सकते हैं?
(i) प्रोपीन से प्रोपेन-1-ऑल
(ii) एथेनॉल से ब्यूट-1-आइन
(iii) 1-ब्रोमोप्रोपेन से 2-ब्रोमोप्रोपेन
(iv) टॉलूईन से बेन्जिल ऐल्कोहॉल
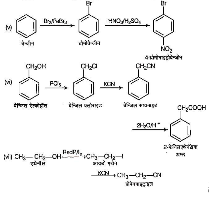
(v) बेन्जीन से 4-ब्रोमोनाइट्रोबेन्जीन
(vi) बेन्जिल ऐल्कोहॉल से 2-फेनिल एथेनॉइक अम्ल
(vii) एथेनॉल से प्रोपेन नाइट्राइल
(viii) ऐनिलीन से क्लोरोबेन्जीन
(ix) 2-क्लोरोब्यूटेन से 3,4-डाइमेथिलहेक्सेन
(x) 2-मेथिल-1-प्रोपीन से 2-क्लोरो-2-मेथिलप्रोपेन
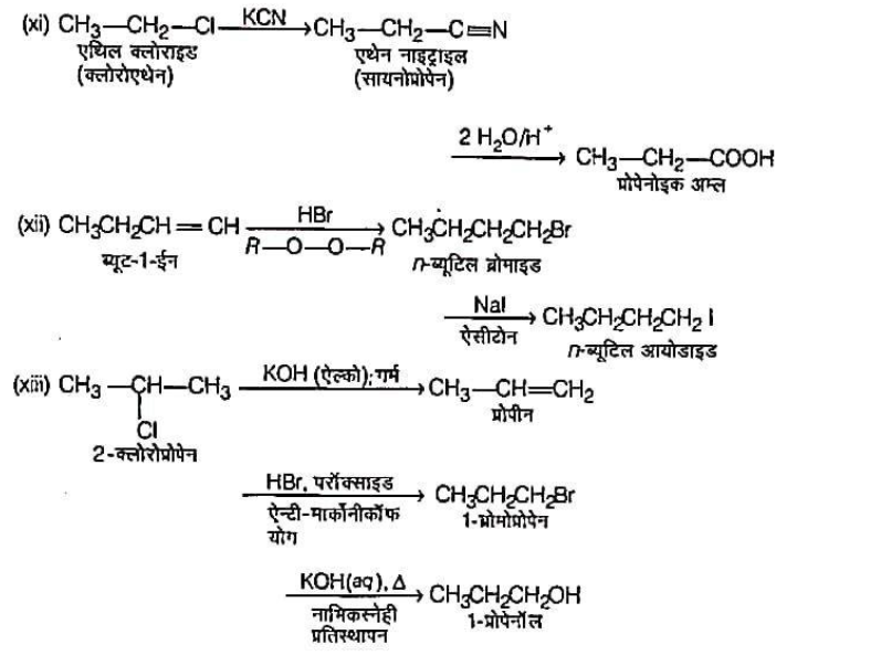
(xi) एथिल क्लोराइड से प्रोपेनोइक अम्ल
(xii) ब्यूट-1-ईंन से n-ब्यूटिल आयोडाइड-ब्यूटिल आयोडाइड
(xiii) 2-क्लोरोप्रोपेन से 1-प्रोपेनॉल
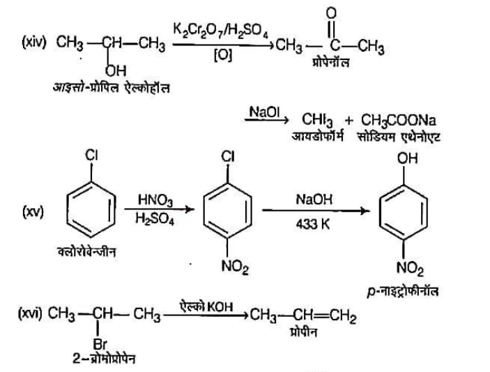
(xiv) आइसोप्रोपिल ऐल्कोहॉल से आयडोफॉर्म
(xv) क्लोरोबेन्जीन से -नाइट्रोफीनॉल
-नाइट्रोफीनॉल
(xvi) 2-ब्रोमोप्रोपेन से 1-ब्रोमोप्रोपेन
(xvii) क्लोरोएथेन से ब्यूटेन
(xviii) बेन्जीन से डाइफेनिल
(xix) तृतीयक-ब्यूटिल ब्रोमाइड से आइसो-ब्यूटिल ब्रोमाइड
(xx) ऐनिलीन से फेनिलआइसोसायनाइड
उत्तर:







Q20. ऐल्किल क्लोराइड की जलीय KOH से अभिक्रिया द्वारा ऐल्कोहॉल बनते हैं परन्तु ऐल्कोहॉलिक KOH की उपस्थिति में ऐल्कीन मुख्य उत्पाद के रूप में प्राप्त होती है। समझाइए।
उत्तर: जल की उपस्थिति में, KOH पूर्णरूप से OH– आयनों में वियोजित हो जाता है। ये प्रबल नाभिकस्नेही होते हैं तथा ऐल्किल हैलाइडों से ऐल्कोहॉलों को उत्पन्न करते हैं। OH– आयनों का जलयोजन भी होता है। अतः ये B-C-परमाणु से H+ को पृथक करने में सक्षम नहीं होते हैं। अतः ऐल्कीन नहीं बनती है। ऐल्कोहॉलिक माध्यम में OH– आयनों के अतिरिक्त विलयन में एथॉक्साइड आयन C2H5O– भी होते हैं। प्रबल क्षार होने के कारण ये B-C परमाणु से H+ आयन को पृथक कर ऐल्कीन देते हैं (विहाइड्रोगैलोजनीकरण)।