इस पोस्ट मे हमने एनसीईआरटी के नवीनतम पाठ्यक्रम के अनुसार कक्षा 12 रसायनशास्त्र अध्याय 10 जैव-अणु का समाधान दिया हैं। हमने अध्याय मे मौजूद सभी प्रश्नों का समाधान सरल एवं स्पष्ट भाषा मे दिया हैं।
छात्रो के लिय जैव-अणु अध्याय को अच्छे से समझना बहुत जरूरी हैं। इस अध्याय की मदद से कार्बोहाइड्रेट, प्रोटीन, लिपिड, और न्यूक्लिक जैसी मूलभूत धारणाओ को अच्छे से समझ सकते हैं। परीक्षा मे अच्छा स्कोर करने के लिय इन धारणाओ को अच्छे से समझना बहुत जरूरी हैं।
जैव-अणु समाधान
अध्याय 9: एमीन
अध्याय को अच्छे से समझने के लिय अध्याय मे दिय गय सभी प्रश्नों एवं अतिरिक्त प्रश्नों का अभ्यास बहुत जरूरी हैं। पिछले वर्ष का प्रश्न पत्र हल करना भी एक्जाम की तैयारी मे काफी मददगार साबित होता हैं।
एनसीईआरटी कक्षा 12 रसायनशास्त्र अध्याय 10 जैव-अणु के महत्वपूर्ण प्रश्न
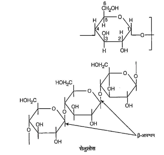
Q. स्टार्च तथा सेलुलोस में मुख्य संरचनात्मक अन्तर क्या है?
उत्तर:
स्टार्च तथा सेलुलोस के मध्य मुख्य अन्तर ग्लूकोस अणुओं की प्रकृति में अन्तर होने के कारण होता है।
स्टार्च ऐमिलोस तथा ऐमिलोपेक्टिन दो घटकों से मिलकर बना होता है। ये दोनों a-D-ग्लूकोस इकाइयों से बने होते हैं। ऐमिलोस 200-1000 e-D-(+)-ग्लूकोस इकाइयों की अशाखित श्रृंखला होती है जो C 1 – C4 ग्लाइकोसाइडिक आबन्ध द्वारा जुड़ी रहती है।
ऐमिलोपेक्टिन a-D-ग्लूकोस इकाइयों की शाखित श्रृंखला होती है जिसमें C 1 – C4 ग्लाइकोसाइडिक आबन्ध होते हैं जबकि शाखन C 1 – C6 ग्लाइकोसाइडिक आबन्ध द्वारा होता है।
सेलुलोस में केवल b-D-(+)-ग्लूकोस अणु एक-दूसरे से C 1 – C4 ग्लाइकोसाइडिक आबन्ध द्वारा जुड़े होते हैं।



Q. प्रोटीन की a-हेलिक्स संरचना के स्थायीकरण में कौन-से आबंध सहायक होते हैं?
उत्तर:
प्रोटीन की a-हेलिक्स संरचना का स्थायीकरण विभिन्न पेप्टाइड बन्धों के >C=O तथा >N—H समूहों के मध्य अंतराआण्विक हाइड्रोजन आबन्धन द्वारा होता है।